柱和支撑的设计

来源:南阳正大钢结构工程有限公司作者:南阳正大钢构网址:http://www.nyzhengda.com/

一、框架柱设计概要

柱截面形式: 箱形、焊接工字形、H型钢、圆管等

截面估计:按1.2N的轴心受压构件,3~4层作一次截面变化,厚度不宜超过100mm

板件宽厚比,见下表

长细比:多层(£12层)框架柱在6~8度设防时不应大于120,9度设防时不应大于100。高层(>12层)框架柱在设防烈度为6,7以及8和9度时,分别为120,80以及60

《高层民用建筑钢结构技术规程》(JGJ99-98)规定:计算在重力和风力或多遇地震荷载作用组合下的稳定性时,如果层间位移标准值不超过层高的1/250,则带支撑(或剪力墙)框架柱的计算长度系数可取为m=1.0;层间位移标准值不超过层高的1/1000时,纯框架柱的计算长度系数亦可由吴侧移公式计算确定。

GB50017对有支撑框架分为强支撑框架和弱支撑框架。

二、柱与梁的连接

常见形式:刚性连接

做法:

完全焊接

完全栓接

栓焊混合

改进形式完全焊接

1】骨形连接(Dog bone)

2】梁端部加腋

3】悬臂梁段

柔性连接形式:

1】连接角钢

2】端板

3】支托

半刚性连接 :

1】端板-高强螺栓连接方式

2】上、下角钢和高强螺栓方式

三、水平支撑布置

类型:横向水平支撑、纵向水平支撑

作用:

临时水平支撑:为建造和安装的安全而设置,在施工完毕后拆除;

永久水平支撑:水平构件(如楼盖或屋盖构件)不能构成水平刚度大的隔板时设置

1】形式:平面桁架

四、竖向支撑设计

构成:

通常为贯通整个建筑物高度的平面桁架形式,通过在两根柱构件间设置一系列斜腹杆 构成

分类:

竖向中心支撑、竖向偏心支撑

布置:

可以在建筑物纵向的一部分柱间布置,也可以在横向或纵横两向布置;其在平面上的位置既可沿外墙布置,也可沿内墙布置

五、中心支撑

形式:

十字交叉斜杆(图a),单斜杆(图b),人字形斜杆(或V形斜杆,图c)或K形斜杆(图d)体系

抗震设防的结构不得采用K形斜杆体系

支撑体系都可以跨层跨柱设置

长细比:

1】非抗震设防结构:受拉的杆件长细比不应大于300 ,受拉、受压杆件的长细比不应大于150

2】抗震设防结构:

板件宽厚比:

1】6度抗震设防和非抗震设防:按《钢结构设计规范》(GB50017)

2】抗震设防结构:

截面形式:

1】双轴对称截面

2】单轴对称截面,采取防止绕对称轴屈曲的构造措施

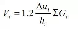
P-效应导致的附加效应:

1】在重力和水平力下,承受水平荷载引起的剪力外,还承受水平位移和重力荷载产生的附加弯曲效应,楼层附加剪力为:

人字形和V形支撑尚应考虑支撑跨梁传来的楼面垂直荷载。

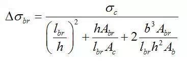
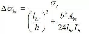
2】十字交叉支撑,人字形支撑和V形支撑的斜杆,应计入柱在重力下的弹性压缩变形在斜杆中引起的附加压应力:

对十字交叉支撑的斜杆

对于人字形和V形支撑的斜杆

3】在多遇地震效应组合作用下,人字形支撑和V形支撑的斜杆内力应乘以增大系数1.5

支撑斜杆按受压杆验算

对于带有消能装置的中心支撑体系,支撑斜杆的承载力应为消能装置滑动或屈服时承载力的1.5倍。

中心支撑节点构造

六、偏心支撑

形式:

门架式(图a),单斜杆式 (图b),人字形(图c)或V字形 (图d)

特征:

支撑斜杆不交于梁柱节点

耗能梁段:正常的荷载状态下,偏心支撑框架具有足够水平刚度;在遭遇强烈地震作用时,耗能梁段首先屈服吸收能量

长细比:不应大于120

板件宽厚比:不应超过GB50017规定的轴心受压构件在弹性设计时的宽厚比限值

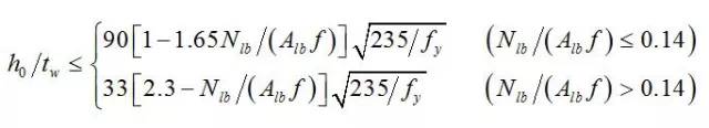
耗能梁段的局部稳定性

1】翼缘板自由外伸宽度b1与其厚度tf比:

2】腹板计算高度h0与其厚度tw之比:

首页    正大建设集团产业      正大建设集团项目      新闻中心      正大建设集团文化      人力资本      联系我们
河南正大建设集团有限公司                     0377-65587777
南阳正大钢结构有限公司                         155-3770-7878  
扫码识别VR视频